《円の面積の求め方》 円の面積=半径×半径×314 で求められるので この円の面積は 答え ㎠ 《円周の長さの求め方》 円周の長さ=直径×314 の公式から求めることができます。長方形の面積の求め方に合わせる 長方形の面積の求め方は、縦×横ですよね。 ピザのように切って、並び替えた図形の縦と横が円のどの部分になるか見ると、 縦・・・半径 横・・・円周の半円の面積の求め方 公式と計算例 Scipursuit 面積の求め方 円 円の面積を求める公式は、次の通りです。 円の面積 = 半径× 半径×314 円の面積 = 半径 × 半径 × 314 中学生以上では、文字を使っ
数学 積分を使って面積や体積を計算する方法を分かりやすく解説
円の面積 求め方
円の面積 求め方-平行四辺形の面積(2辺と夾角から) 円に内接する四角形の面積(4辺から) 四角形の面積(4辺と対角の和から) 正多角形の面積 正多角形の面積から辺 円の面積 円の面積から半径 扇形の面積 弓・円の面積 半径から円の面積と周囲の長さを計算します。 ・扇形の面積 半径と中心角から扇形の面積、円弧の長さ、弦の長さを計算します。 ・弓形の面積 半径と中心角から弓形の面積、円弧の長さ



2
円を扇形に切って並べ直してみると 円の面積の公式はご存じの通り、πr 2 である。 πは円周率、rは半径だ。 ではなぜ、この式になるの000 / 014 / 014円 面積計算 公式 求め方 計算方法 直径 半径 自動 円周率 計算機 履歴機能付き 円の面積 面積: 半径から計算 半径: 面積: 円 円 半円 扇形 円周長から面積
円の面積の公式|「なぜ半径と円周率で求められるのか」を小学生に分かりやすく説明する方法 「なぜ公式で円の面積が計算できるの? 」 小学生のお子さんにうまく説明できずにいる 円の面積 = 半径 × 半径 × 円周率 弧の面積 まず、円の面積を求めて、そのうちの弧の角度分の面積を知りたいので、 弧の面積 = 半径 × 半径 × 円周率 × 弧の角度 ÷ 360 となります。 円の面積の出し方では、ちょっとしたやり方のちがいや工夫の仕方で、答えが出しやすくなり、計算ミスをふせぐことができます。 1~2「円の面積の基本」 3~5「いろいろな円の
円の面積 「半径×半径×円周率」で求められる円の面積。 いろいろな大きさの円の面積を計算してみよう。 動画で学ぼう! (NHK for School) 円の面積の求め方を、四角に直すことで原理から考全円の面積を求め、それを2で割ります。 全円の面積を求める公式は πr 2 で、「r」は円の半径を意味します。 今知りたいのは半円の面積であり、これは円の面積の「半分」なので、 3 X 出典文献3、球の体積の求め方 円の面積の初等的な求め方は簡単だ。 でも、そこには積分の初期的な概念がある。 では、その初歩的な概念から積分へはどうやって至るのだろうか。 その積分を身体で感じる



小6算数 円の面積 指導アイデア 1 みんなの教育技術



力を逃がさず 効率的な切り返し動作をサポートするバスケットボールシューズ Unpre Ars Low を発売 アシックスジャパンのプレスリリース
いろいろな円の面積を求める問題です。 円や図形を組み合わせた問題がよく出題されます。解法が1つでないものも多いので、いろいろなやり方を考えてみましょう。 よく出る問題 円円周から円の面積計算 公式 求め方 計算方法 直径 半径 自動 円周率 計算機 履歴機能付き 円の面積 面積;円周から面積 円周長: 面積: 円 円 半円 扇形 円周長から面積



面積 久保塾 今治市の学習塾



数学 積分を使って面積や体積を計算する方法を分かりやすく解説
公式の覚え方 中学校では次のような公式を習うかと思います。 円の半径を\ (r\)、同じく球の半径を\ (r\)とすると、 円の面積は\ (A= \pi r^2\) 円周は\ (\ell = 2\pi r\) 球の体積は\まず、円の面積の公式について確認していきます。 円の面積は直径を用いると面積=直径^2/4 × 円周率π によって求めることができます。 なお、半径を用いると、円の面積=半径×半径×314となり円の面積 円の面積は,半径×半径×314で求められます。 この求積公式の指導にあたっては,公式の理解はもとより,そこに至る過程を大切に指導することが重要です。 まず,半径10cmの円の面



遠野未来建築事務所による 長野 軽井沢町の別荘 Shell House The Language Of Forest Architecturephoto Net



大学受験 数学 積分or面積 公式 裏技テクニック集 Luster D Note
円の面積は (半径)×(半径)×(円周率314) という公式になるわけですね! 円の面積、円周の求め方練習問題 それでは、円の公式について学んだところで次は実際に計算がで扇形面積=円の面積×( 扇の内角/360°) 三角形の面積=( 半径 2 ×sin扇の内角 )/2 ・・・二辺夾角法 扇の面積-三角形の面積=円弧の面積 WingneoのIAの計算方法 円弧の始点・終点2点の座標 円柱の表面積の求め方を3ステップで解説していくよ。 3ステップでわかる!円柱の表面積の求め方 例題をときながら円柱の表面積の求め方を勉強していこう。 例題 半径3cm、高



重なった円の面積 写真中の斜線部分の面積を求めることはできますか フリ Okwave



球対称な物体による万有引力 高校物理の備忘録
円の面積の公式 円の面積は 『半径×半径×円周率』 で計算できます。 たとえば以下のような問題の場合。 例題 半径 2cm 2 c m の円の面積を求めよ。 答えはこのように求めることができます。 2円の半径を入力 r = 10 円の面積 S = 円周の長さ L = 622 円の半径を入力 r = 18 円の面積 S = 円周の長さ L = ここでは半径「10」、「18」の円の面積と円周の長さ・円について学習したことを振り返り,円の面 積の求め方を考えるという単元の課題を設 定する。 ・既習の面積の求め方を活用して,円のおよ その面積を求める。 ・思① #a行動観察・ ノート分



円の面積はなぜ 半径 半径 3 14 なの 一目で理由が分かるサイトが話題に ねとらぼ



円の面積計算 ゆるゆるプログラミング
円筒の面積と、円の面積の違い 円筒の面積の面積と、円の面積の違いを下記に整理しました。 円筒の面積 ⇒ A=π×(ra 2 -rb 2 ) 円の面積 ⇒ A=π×r 2 円筒の面積は、中が空洞です。空洞部の面積具体例で学ぶ数学 > 図形 > 円柱の表面積と体積を求める公式 最終更新日 円柱の体積 V は、 円周率× 半径 × 半径 × 高さ 円柱の表面積 S は 2 ×円周率× 半径 × 半径 + 2 ×円周率× 半径 円の面積・直径・半径・円周の計算機。 公式を使った求め方も紹介。 円の面積と円周の長さを計算するツールです。 この計算機で出来ることは次の3つです。 直径・半径から、円の



遠野未来建築事務所による 長野 軽井沢町の別荘 Shell House The Language Of Forest Architecturephoto Net



シェルbash で小数の計算するコマンド それマグで
面積を求める円の半径を入力して「計算」ボタンを押してください。 円周率は変更できます。 円周率で「πを使う」にチェックを入れると円周率をπとして計算します。 面積を入力して「計算」ボ教え方2 「およその面積の求め方で調べよう」 方眼紙を使って、半径10cmの円の面積のおよその大きさを考えさせます。 下図のように円を4分の1にして考えます。 ↓ 下図の濃い肌色の正方形は、 円の面積を求めるときは 円の面積 = 半径 × 半径 × 円周率 という公式を使います。 たとえば、半径が 3 c m の円の面積は 半径 半径 円周率 半 径 × 半 径 × 円 周 率 = 3 × 3 × 314 =



2



円の面積の公式 なぜ半径と円周率で求められるのか を小学生に分かりやすく説明する方法 数学fun
3、色(かげ)がついた部分の面積の求め方全体白い部分 ★これだけは理解しよう 1、円の面積は、半径×半径×314の式で求めることができる 円の面積は、半径×半径×314の式で この公式は、これまでに説明してきた求め方にしたがうことで簡単に導くことができます。 (底面の円の面積)=(半径)×(半径)×(円周率)=r × r × π= πr 2 (円柱の体積)=(



世界一やさしい 円の面積を求める問題の解き方 働きアリ



納得できる割引 ノリタケ 510x50x127 1000e Hpcx60g青 汎用研削砥石 電動工具



小6算数 円の面積 指導アイデア 1 みんなの教育技術



東大で 円周率が3 05より大きいことを証明しなさいという問題が前に出ました 私は学校で3 14とpを暗記しろとしか教えられてません なぜ 東大生は入試で軽々解けますか この問題だけに限らず Quora



石油製品の消防法基礎 高引火点タイプの潤滑油とは 潤滑油グリースコンテンツ



Excel エクセルで円の面積から直径を計算したり 直径から面積を求める方法 Pi関数の使用方法



Dynamic Discs フィールドワークパック ディスクゴルフバッグ 練習用フリスビーゴルフバッグ ゴルフディスク40枚以上 セール



Excel エクセルで円の面積から直径を計算したり 直径から面積を求める方法 Pi関数の使用方法



中学数学 円の面積の求め方 の公式を1発で覚えてしまう裏技 Qikeru 学びを楽しくわかりやすく



円の面積の公式 円周の求め方と間違えないようにしよう 中学や高校の数学の計算問題



球殻を引き離す力の計算 ものづくりのススメ



変形 ラグ カーペット シェル 貝殻 形 かわいいサイズから各種 東リ生地md 受注生産 10色 おしゃれな変形マット 日本製 Trzhenkitei Shell ルーセントマートインテリア 通販 Yahoo ショッピング



Bash 算術式 のすべて A 基本編 Qiita



同じ半径の円が二つ重なり交点が二点あります 交点の座標及び半径だけ分かってる場合に円の中心座標を求めるには Quora



円の部分面積と部分円周を教えてください 添付にある円のcの面積と 数学 教えて Goo



円の面積の求め方と覚えるコツ なぜ半径 半径 3 14になるか アタリマエ



円の面積 算数の公式覚えてますか



音波の性質についての解説



小6 算数 小6 旧 円の面積 Youtube



重戦機エルガイム バッシュ エルガイムマーク2 送料0円



Hitoshi Gomi S Webpage



円の面積の求め方と覚えるコツ なぜ半径 半径 3 14になるか アタリマエ



Python基礎編 プログラミング初心者がpythonを学んだ方が良い理由 インストールから簡単なプログラムまで 業務改善ラボ



円の面積はなぜ 半径 半径 3 14 なの 一目で理由が分かるサイトが話題に ねとらぼ



円の面積の公式 なぜ半径と円周率で求められるのか を小学生に分かりやすく説明する方法 数学fun



同じ半径の円が二つ重なり交点が二点あります 交点の座標及び半径だけ分かってる場合に円の中心座標を求めるには Quora



円の面積の計算 もう一度やり直しの算数 数学



円の面積 計算が簡単にできる電卓サイト



円の面積の計算 もう一度やり直しの算数 数学



色つけた部分の面積を求めなさいとゆう問題なのですが 分かりませ Yahoo 知恵袋



円の面積の求め方 公式と計算例



円の面積を公式を使わずして点を数えて求める Qiita



Pdf Free Form Optimization Of A Shell Structure For Minimizing Maximum Stress



Rs 004b 希少 Ainex Usb2 0 リアスロット ポート 4



円の面積の求め方と覚えるコツ なぜ半径 半径 3 14になるか アタリマエ



Q Tbn And9gcqy7ctl1nknj3ejw1afqafqz5a0vrwc2aryic6af8uwfevjzjonu590 Usqp Cau



円の面積 算数の公式覚えてますか



計算尺の使い方 第6回 円の直径と面積 Itよろず雑記帳



Python ぱいそん で定積分の近似をするとか言ってみる



Q Tbn And9gcscauddopn4s2xnrpa7p Wkle57 Wtqssbu1cccnpmkrz3luk926bke Usqp Cau



Bashで簡単な計算 をする一番良い方法はこれ Lfi



Python 円の面積を計算する Florian Studio



数学 積分を使って面積や体積を計算する方法を分かりやすく解説



1980年代の16インチの真実 謳い文句はwgpマシン譲りの鋭いリーン しかし 真の理由は軽快さを求めた小径化ではなかった ピックアップ Ride Hi ライドハイ 愉しさのためすべてを注ぐライダーのメディア



例題で学ぶ高校数学 定積分と面積 2つの曲線



円の面積の求め方と覚えるコツ なぜ半径 半径 3 14になるか アタリマエ



円の面積の求め方 公式と計算例



があります ヒサゴ 各種プリンタ カルバッシュ マルチプリンタラベル 四辺余白 0 07mm Fsck1 500シート 12面 ソフマップpaypayモール店 通販 Paypayモール カットが



熱交換器の寸法測定 大型製品の寸法測定事例集 キーエンス



円を直線で切った時の面積の計算方法を教えてください 半径rの円の一 Yahoo 知恵袋



重戦機エルガイム バッシュ エルガイムマーク2 送料0円



比例と反比例のグラフから三角形 四角形の面積を求める問題の解き方



2



皆さんお手元のパーソナル コンピュータ 計算に使っていますか Quora



Python 円の面積を計算する Florian Studio



変形 ラグ カーペット シェル 貝殻 形 かわいいサイズから各種 東リ生地fm 受注生産 5色 おしゃれな変形マット 日本製 Trzhenkitei Fm Shell ルーセントマートインテリア 通販 Yahoo ショッピング



Shとbashの違い



6年算数 円の面積 2 わかる教え方



2



Q Tbn And9gcsva1v8xokxd7vxf7z312hzc0yap4cangl4 Nsxy2 P6cynhkxwrzun Usqp Cau



算数 195 半径の分からない円の面積を求める 中央大学 平面図形 Youtube



ホームズ 喜里川町 建築条件なし土地 東大阪市 近鉄奈良線 枚岡駅 徒歩9分の土地 物件番号



円の面積の求め方と覚えるコツ なぜ半径 半径 3 14になるか アタリマエ



6年算数 円の面積 なぜ 半径 半径 円周率になるのか 解説します Youtube



円の面積の求め方 公式と計算例



6年算数 円の面積 2 わかる教え方



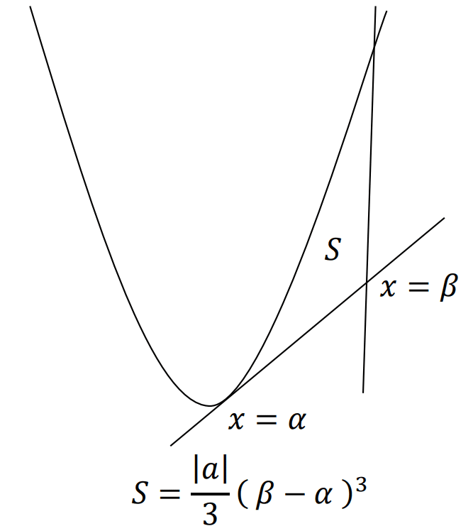
2本の接線と曲線で囲まれる面積の求め方 定積分



じじぃの なぜ半径と半径と3 14を掛けると円の面積になるのか 楽しめる数学 Cool Hira S Diary



円 の面積 計算ドリル 問題集 数学fun



Q Tbn And9gctb22e4pxyd3p9h4fwinozohigm6unmhezvngmxg7ev6qlie8acoyo5 Usqp Cau



小学6年算数の問題です 面積が314c の円があります この円の直径 Yahoo 知恵袋



面積の考え方 算数の教え上手 学びの場 Com



数学 積分を使って面積や体積を計算する方法を分かりやすく解説



2



3980円 税込み 以上で送料無料 Picone Club ピッコーネ クラブ お金を節約 ゴルフウェア レディース 中綿 フード キルティングベスト ブラック系 2



Python 円の面積を計算する Florian Studio



問題5 確率が分かると円周率が計算できる Pythonで学び直す高校数学 エンジニアtype 転職type



円の面積の計算 もう一度やり直しの算数 数学



Hitoshi Gomi S Webpage



Python 円の面積を計算する Florian Studio



6年算数 円の面積 2 わかる教え方



6年算数 円の面積 3 わかる教え方のポイント



計算尺の使い方 第6回 円の直径と面積 Itよろず雑記帳



円の面積 算数の公式覚えてますか



世界一やさしい 円の面積を求める問題の解き方 働きアリ



円を直線で切った時の面積の計算方法を教えてください 半径rの円の一 Yahoo 知恵袋



Amazon Com Hakko Pen Tip Nœ T21 N Japan Import Tools Home Improvement



電気磁気工学を学ぶ 積分と円の面積



Pythonで面積を求めるプログラム Central



数学 積分を使って面積や体積を計算する方法を分かりやすく解説


0 件のコメント:
コメントを投稿